La Bibliothèque d'Applications présente des modèles construits avec COMSOL Multiphysics pour la simulation d'une grande variété d'applications, dans les domaines de l'électromagnétisme, de la mécanique des solides, de la mécanique des fluides et de la chimie. Vous pouvez télécharger ces modèles résolus avec leur documentation détaillée, comprenant les instructions de construction pas-à-pas, et vous en servir comme point de départ de votre travail de simulation. Utilisez l'outil de recherche rapide pour trouver les modèles et applications correspondant à votre domaine d'intérêt. Notez que de nombreux exemples présentés ici sont également accessibles via la Bibliothèques d'Applications intégrée au logiciel COMSOL Multiphysics® et disponible à partir du menu Fichier.
In this example, a simplified micromechanical model of a unit cell with periodic boundary conditions is analyzed. The homogenized elastic and thermal properties of a composite material are computed based on individual properties of fiber and matrix. A comparison of numerical values are ... En savoir plus
As integrated circuit (IC) technology advances, with circuits becoming more powerful and compact, it is increasingly important to identify and prevent any cause of circuit failure. One particularly critical factor contributing to circuit failure is electromigration within the ... En savoir plus
This example shows how to use response spectrum analysis to verify the integrity of a structure that is exposed to an earthquake. The building is modeled as a steel frame, using beam elements. Displacements and stresses are computed. En savoir plus
The fluid flow in seals causes a strong restoring radial force, opposing the shaft motion. Also, there is a cross coupled force due to the axial variation of the circumferential flow. The first type of force always has a stabilizing effect on the rotor, whereas the second one in certain ... En savoir plus
In this example, the Bergstrom–Bischoff material model is used to model the temperature and strain dependent behavior of High Density Polyethylene (HDPE) used, for example, to make liners for damaged pipes in oil and gas applications, or to make type IV hydrogen storage vessels for fuel ... En savoir plus
Powder compaction is a popular manufacturing process not only in powder metallurgy, but also in the pharmaceutical industry. The Capped Drucker–Prager model is commonly used for simulating the compaction processes of pharmaceutical powders, where the material properties depend on the ... En savoir plus
The powder compaction process is becoming common in the manufacturing industry, thanks to its potential to produce components of complex shape and high strength. In this example, the compaction of iron powder to form an axisymmetric rotational flanged component is analyzed with capped ... En savoir plus
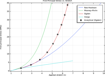
This model demonstrates the inflation of a rubber balloon with four different hyperelastic material models. The results are compared with the analytical solution for a thin-walled, spherical vessel. Controlling the inflation of hyperelastic balloons is important in clinical ... En savoir plus
Chain drives are used for transmitting power from one shaft to another, located at some distance. This example simulates the dynamics of a chain sprocket assembly in 2D. The geometry consists of a roller chain wrapped around two sprockets. Both chain links and sprockets are assumed to be ... En savoir plus
How well you can strike a golf ball is not only determined by your muscle strength, but more importantly it is influenced by the mechanics of golf swing. The outcome of golf stroke is basically determined by the movement of the club head just prior to the impact with the ball. In this ... En savoir plus
