La Bibliothèque d'Applications présente des modèles construits avec COMSOL Multiphysics pour la simulation d'une grande variété d'applications, dans les domaines de l'électromagnétisme, de la mécanique des solides, de la mécanique des fluides et de la chimie. Vous pouvez télécharger ces modèles résolus avec leur documentation détaillée, comprenant les instructions de construction pas-à-pas, et vous en servir comme point de départ de votre travail de simulation. Utilisez l'outil de recherche rapide pour trouver les modèles et applications correspondant à votre domaine d'intérêt. Notez que de nombreux exemples présentés ici sont également accessibles via la Bibliothèques d'Applications intégrée au logiciel COMSOL Multiphysics® et disponible à partir du menu Fichier.
In this benchmark model, solid particles are released in a fully developed turbulent channel flow. The particles are subjected to a drag force that includes contributions from the fluid turbulence, implemented using a Continuous Random Walk (CRW) model. Because the turbulence in the ... En savoir plus
This tutorial model shows how to import data from an ODB++® archive to generate a geometry of a printed circuit board (PCB). Follow the instructions to learn how to remove small details from the geometry, create a mesh, and use automatically generated selections to define physics and ... En savoir plus
This is a model of a moving-coil loudspeaker where a lumped parameter analogy represents the behavior of the electrical and mechanical speaker components. The Thiele-Small parameters (small-signal parameters) serve as input to the lumped model, which is represented by an Electric Circuit ... En savoir plus
Polymer hydrogels consist of a crosslinked network of long-chained polymers that has imbibed a large number of solvent molecules. Such materials are used in many biomedical applications, such as targeted drug delivery, tissue engineering, and stimuli-sensitive actuators. This benchmark ... En savoir plus
Differentially pumped vacuum systems use a small orifice or tube to connect two parts of a vacuum system that are at very different pressures. Such systems are necessary when processes run at higher pressures and are monitored by detectors that require UHV for operation. In this model, ... En savoir plus
It is often not possible to insert a normal microphone directly into the sound field being measured. The microphone may be too big to fit inside the measured system, such as for in-the-ear measurements for hearing aid fitting. The size of the microphone may also be too large compared to ... En savoir plus
Steel structures immersed in seawater can be protected from corrosion through cathodic protection. This protection can be achieved by an impressed external current or by using sacrificial anodes. The use of sacrificial anodes is often preferred due to its simplicity. This example models ... En savoir plus
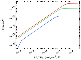
This example shows an approximate approach to model a dot-in-well solar cell as described by Asahi et al. in the reference paper. The quantum wells and the layers of quantum dots are each treated as lumped energy levels in the band gap. The authors specify transitions between the dot ... En savoir plus
Modern integrated circuits are available as plastic encapsulated microcircuits (PEM). These devices are molded out of polymeric materials and epoxy resins in order to protect the internal semiconductors. Unfortunately, polymeric mold compounds absorb moisture when exposed to a humid ... En savoir plus
Micropumps are key components of microfluidic systems with applications ranging from biological fluid handling to microelectronic cooling. This model simulates the mechanism of a valveless micropump, that is designed to be effective at low Reynolds numbers, overcoming hydrodynamic ... En savoir plus
