La Bibliothèque d'Applications présente des modèles construits avec COMSOL Multiphysics pour la simulation d'une grande variété d'applications, dans les domaines de l'électromagnétisme, de la mécanique des solides, de la mécanique des fluides et de la chimie. Vous pouvez télécharger ces modèles résolus avec leur documentation détaillée, comprenant les instructions de construction pas-à-pas, et vous en servir comme point de départ de votre travail de simulation. Utilisez l'outil de recherche rapide pour trouver les modèles et applications correspondant à votre domaine d'intérêt. Notez que de nombreux exemples présentés ici sont également accessibles via la Bibliothèques d'Applications intégrée au logiciel COMSOL Multiphysics® et disponible à partir du menu Fichier.
The drift velocity of Ar+ is calculated using a Monte Carlo simulation in which the elastic collisions of Argon ions with ambient neutrals are explicitly modeled. The model uses energy-dependent collision cross-section data from experiment. The average ion velocity values are consistent ... En savoir plus
An electrodynamic ion funnel provides an efficient means of transferring ions from regions of high pressure to high vacuum. The ion funnel can couple devices which generally operate at pressures of different orders of magnitude, such as ion mobility spectrometers and mass spectrometers, ... En savoir plus
This tutorial models an ICP reactor by solving plasma fluid type equations fully coupled with the homogeneous and time-independent electron Boltzmann equation in the classical two-term approximation. The approximated Boltzmann equation is solved for each position of space and is coupled ... En savoir plus
This model simulates a plasma at medium pressure (2 torr) where the plasma is still not in local thermodynamic equilibrium. At low pressures the two temperatures are decoupled but as the pressure increases the temperatures tend towards the same limit. En savoir plus
Wave heated discharges may be very simple, where a plane wave is guided into a reactor using a waveguide, or very complicated as in the case with ECR (electron cyclotron resonance) reactors. In this example, a wave is launched into reactor and an Argon plasma is created. The wave is ... En savoir plus
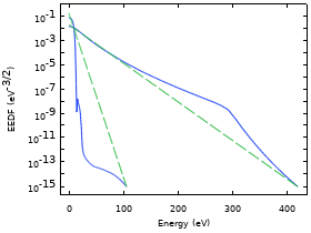
This model computes the ion energy distribution function (IEDF) for a commercial capacitively coupled plasma reactor. The results show good agreement with experimental data. En savoir plus
This tutorial models a DC glow discharge by solving fluid-type plasma equations fully coupled with the homogeneous and time-independent electron Boltzmann equation in the classical two-term approximation. The approximated Boltzmann equation is solved for each position of space and is ... En savoir plus
The Boltzmann equation can be solved to validate sets of electron impact collision cross sections. In fact, sets of collision cross sections are traditionally inferred by solving a two-term approximation to the Boltzmann equation and comparing the results to swarm experiments. This model ... En savoir plus
Plasma discharges containing chlorine are commonly used to etch semiconductors and metals in microelectronics fabrication. This tutorial model studies chlorine plasma discharges using a global (volume-averaged) diffusion model. Global diffusion models can run simulations in a fraction ... En savoir plus
DC glow discharges in the low-pressure regime have long been used for gas lasers and fluorescent lamps. DC discharges are attractive to study because the solution is time independent. The 1D and 2D models show how to use the DC Discharge interface to set up an analysis of a positive ... En savoir plus
