La Bibliothèque d'Applications présente des modèles construits avec COMSOL Multiphysics pour la simulation d'une grande variété d'applications, dans les domaines de l'électromagnétisme, de la mécanique des solides, de la mécanique des fluides et de la chimie. Vous pouvez télécharger ces modèles résolus avec leur documentation détaillée, comprenant les instructions de construction pas-à-pas, et vous en servir comme point de départ de votre travail de simulation. Utilisez l'outil de recherche rapide pour trouver les modèles et applications correspondant à votre domaine d'intérêt. Notez que de nombreux exemples présentés ici sont également accessibles via la Bibliothèques d'Applications intégrée au logiciel COMSOL Multiphysics® et disponible à partir du menu Fichier.
A potential flow model of fluid flow in a rock fracture uses the so-called Reynolds equation. It shows how to use experimental data interpolated to a function used in the equation. En savoir plus
This model how to build and solve a conductive heat transfer problem using the Heat Transfer interface. The model, taken from a NAFEMS benchmark collection, shows an axisymmetric steady-state thermal analysis. As opposed to the NAFEMS benchmark model, we use the temperature unit kelvin ... En savoir plus
An Electromagnetic Band Gap (EBG) structure can be used to increase the isolation between antennas close to each other. The decoupling effect is not only a function of frequency but also polarization and coupling-plane configuration. When designing an EBG structure, one needs to make ... En savoir plus
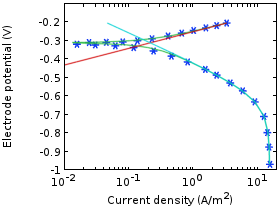
This tutorial shows how to use the Optimization interface to perform electrode kinetics parameter estimations based on polarization data. A zero-dimensional electrode polarization model is defined that separates kinetics expressions for the metal dissolution and the oxygen reduction ... En savoir plus
The development of mixers does often not only have to account for effectiveness, but also other factors must be involved, such as cost and complexity for manufacturing. The three models study a laminar static micro mixer with two parallel sets of split-reshape-recombine mixing elements. ... En savoir plus
This model demonstrates the inflation of a rubber balloon with four different hyperelastic material models. The results are compared with the analytical solution for a thin-walled, spherical vessel. Controlling the inflation of hyperelastic balloons is important in clinical ... En savoir plus
Many piezoelectric materials are ferroelectric. Ferroelectric materials exhibit nonlinear polarization behavior, such as hysteresis and saturation at large applied electric fields. In addition, the polarization and mechanical deformations in such materials can be strongly coupled due to ... En savoir plus
This model serves the purpose of validation and verification of the Linear Elastic Material, Layered model in the Shell interface. In COMSOL Multiphysics, composites are analyzed either based on Layerwise 3D elasticity theory through the Layered Shell interface or based on FSDT-ESL ... En savoir plus
Delamination or the separation of layers is a common failure mode in laminated composite materials. Various factors, including loading, defects in the material, and environmental conditions can trigger the initiation and propagation of layer separation. This leads to degraded structural ... En savoir plus
Large lithium-ion batteries are widely deployed in electric vehicles and for stationary energy storage applications. In the (stacked) pouch battery cell design, all current exits the cell on the cell "tabs", and as the cell size and power increase, the voltage gradients in the highly ... En savoir plus
