La Bibliothèque d'Applications présente des modèles construits avec COMSOL Multiphysics pour la simulation d'une grande variété d'applications, dans les domaines de l'électromagnétisme, de la mécanique des solides, de la mécanique des fluides et de la chimie. Vous pouvez télécharger ces modèles résolus avec leur documentation détaillée, comprenant les instructions de construction pas-à-pas, et vous en servir comme point de départ de votre travail de simulation. Utilisez l'outil de recherche rapide pour trouver les modèles et applications correspondant à votre domaine d'intérêt. Notez que de nombreux exemples présentés ici sont également accessibles via la Bibliothèques d'Applications intégrée au logiciel COMSOL Multiphysics® et disponible à partir du menu Fichier.
Plate reactors running under continuous conditions have emerged as candidates to replace batch reactors, primarily in fine chemicals and pharmaceuticals production. One of the advantages of the plate reactor design is that it allows for efficient temperature control of the reacting ... En savoir plus
Periodic microstructures are frequently found in composite materials, metallic foams, and sandwich structures. They can be described by a unit cell repeated along the three Cartesian directions. This app computes homogenized material properties of various periodic microstructures and ... En savoir plus
In this example, a hydrogen plasma reactor at moderate pressure is studied using a global model. The heavy species heat equation is included. In the first part of the study, a Maxwellian electron energy distribution function is used. In the second part, the global model is solved self ... En savoir plus
This tutorial illustrates how to use the Uncertainty Quantification (UQ) functionality to answer questions regarding sensitivity and reliability of a flow reactor with thermal decomposition. The tutorial investigates what uncertainties in parameters dominates the survival of a nutrient ... En savoir plus
In this study, the compressible turbulent flow through a supersonic ejector is modeled using the High Mach Number Flow interface in the CFD Module. Ejectors are simple mechanical components used for a wide range of applications, including industrial refrigeration, vacuum generation, gas ... En savoir plus
Chemical engineering students can model a nonideal tubular reactor, including radial and axial variations in temperature and composition, and investigate the impact of different operating conditions with this easy-to-use app. The process described by the Tubular Reactor with ... En savoir plus
Tubular reactors are often used in continuous large-scale production, for example in the petroleum industry. One key design parameter is the conversion, or the amount of reactant that reacts to form the desired product. In order to achieve high conversion, process engineers optimize the ... En savoir plus
This app demonstrates the following: Visualization of a periodic structure from a unit cell Resetting some or all input parameters Export the resulting material properties as an MPH-file or an XML-file that can be imported to a COMSOL Multiphysics session Periodic microstructures are ... En savoir plus
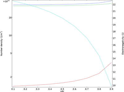
In this example, an SF6/argon plasma reactor at moderate pressure is studied using a global model. The heavy species heat equation is included. Parametric sweeps for input power and argon mole fraction are computed. En savoir plus
In a reciprocating piston engine the connecting rods transfer rotating motion into reciprocating motion. The connecting rods are constantly under high stresses and the load increases with the engine speed. A failure of one part in the engine usually results in a replacement of the whole ... En savoir plus
