La Bibliothèque d'Applications présente des modèles construits avec COMSOL Multiphysics pour la simulation d'une grande variété d'applications, dans les domaines de l'électromagnétisme, de la mécanique des solides, de la mécanique des fluides et de la chimie. Vous pouvez télécharger ces modèles résolus avec leur documentation détaillée, comprenant les instructions de construction pas-à-pas, et vous en servir comme point de départ de votre travail de simulation. Utilisez l'outil de recherche rapide pour trouver les modèles et applications correspondant à votre domaine d'intérêt. Notez que de nombreux exemples présentés ici sont également accessibles via la Bibliothèques d'Applications intégrée au logiciel COMSOL Multiphysics® et disponible à partir du menu Fichier.
This tutorial shows how to set up a 3D simulation of rubber injection molding. A phase field method is used to track the interface between the rubber and the displaced air. The rubber is modeled as shear-thinning inelastic non-Newtonian power law fluid with a fluid-consistency ... En savoir plus
Micromirrors are used in certain MEMS devices to control optic elements. This model of a vibrating micromirror surrounded by air uses the Thermoacoustic-Shell Interaction user interface to model the fluid-solid interaction, and it thus includes the correct viscous and thermal damping of ... En savoir plus
In small PEM fuel cell systems (in the sub-100 W range) no active devices for cooling or air transport are normally used. This is due to the desire to minimize parasitic power losses from pumps and fans, and to reduce the system complexity, size, and cost. The reactants at the cathode ... En savoir plus
The inductor is a common component in a variety of electrical devices. Its applications include power transformation and measurements, and it can also be used together with capacitors to create oscillators. In small devices with many components, such as in laptops, heat generation can ... En savoir plus
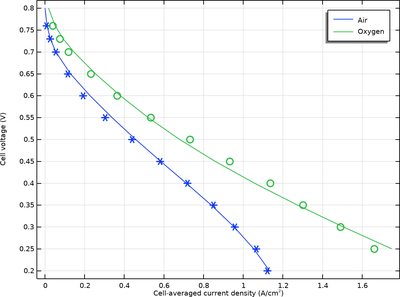
This tutorial demonstrates how to use stationary polarization data to perform parameter estimation of a polymer electrolyte membrane fuel cell (PEMFC) model. The model, defining a 5-layer membrane electrode assembly (MEA) is two-dimensional and includes electronic and ionic charge ... En savoir plus
A typical capacitor is composed of two conductive objects with a dielectric in between them. A voltage difference applied between these objects results in an electric field between them. This electric field exists not just directly between the conductive objects, but extends some ... En savoir plus
A piezoelectric transducer can be used either to transform an electric current to an acoustic pressure field or, the opposite, to produce an electric current from an acoustic field. These devices are generally useful for applications that require the generation of sound in air and ... En savoir plus
The suite of models examine the air cooling of circuit boards populated with multiple integrated circuits (ICs), which act as heat sources. Two possible cooling scenarios are depicted: vertically aligned boards using natural convection, and horizontal boards with forced convection (fan ... En savoir plus
The model simulates non-premixed turbulent combustion of syngas (synthesis gas) in a simple round-jet burner. Syngas is a gas mixture, primarily composed of hydrogen, carbon monoxide and carbon dioxide. The name syngas relates to its use in creating synthetic natural gas. In the model, ... En savoir plus
Diesel particulate filters (DPFs) are designed to remove and filter soot (diesel particles) from the exhaust of diesel engine vehicles. The filters in such systems are typically structured with long, air-filled channels surrounded by a porous medium that retains the soot. Although the ... En savoir plus
