La Bibliothèque d'Applications présente des modèles construits avec COMSOL Multiphysics pour la simulation d'une grande variété d'applications, dans les domaines de l'électromagnétisme, de la mécanique des solides, de la mécanique des fluides et de la chimie. Vous pouvez télécharger ces modèles résolus avec leur documentation détaillée, comprenant les instructions de construction pas-à-pas, et vous en servir comme point de départ de votre travail de simulation. Utilisez l'outil de recherche rapide pour trouver les modèles et applications correspondant à votre domaine d'intérêt. Notez que de nombreux exemples présentés ici sont également accessibles via la Bibliothèques d'Applications intégrée au logiciel COMSOL Multiphysics® et disponible à partir du menu Fichier.
Reflective mufflers are best suited for the low-frequency range where only plane waves can propagate in the system, while dissipative mufflers with fibers are efficient in the mid- to high-frequency range. Dissipative mufflers based on flow losses, on the other hand, also work at low ... En savoir plus
Interference fit is a technique used to join or fit one part over or around another part. The internal part is cooled, so that it shrinks, and is then fitted. Once the part heats up again and expands, a contact pressure builds up at the interface between the two parts. This type of ... En savoir plus
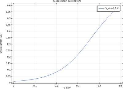
This tutorial analyzes the DC characteristics of an InSb p-Channel FET, using the density-gradient theory to add the effect of quantum confinement to the conventional drift-diffusion formulation, without a large increase of computational resources. The confinement effect is applied both ... En savoir plus
An ion-sensitive field-effect transistor (ISFET) is constructed by replacing the gate contact of a MOSFET with an electrolyte of interest. The concentration of a specific ionic species in the electrolyte can be determined by measuring the change in the gate voltage due to the interaction ... En savoir plus
This model shows how to model an electrolyte-gated organic field-effect transistor based on a general drift-diffusion model. The model uses the Stabilized Convection-Diffusion Equation interface and the Electrostatics interface. The transistor characteristics are visualized. Formation of ... En savoir plus
In a polymer electrolyte membrane electrolyzer cell (PEMEC), the two electrode compartments are separated by a polymer membrane. Liquid water is fed to the anode side, forming oxygen gas on the anode, and hydrogen gas on the cathode side, respectively. The respective designs of the ... En savoir plus
The model simulates non-premixed turbulent combustion of syngas (synthesis gas) in a simple round-jet burner. Syngas is a gas mixture, primarily composed of hydrogen, carbon monoxide and carbon dioxide. The name syngas relates to its use in creating synthetic natural gas. In the model, ... En savoir plus
Multipaction can occur when electrons are accelerated by a high frequency RF field into surfaces. At certain frequencies, the number of electrons in a cavity can grow exponentially. This exponential growth cannot continue indefinitely because space charge effects in the cavity can ... En savoir plus
In static mixers, also called motionless or in-line mixers, a fluid is pumped through a pipe containing stationary blades. This mixing technique is particularly well suited for laminar flow mixing because it generates only small pressure losses in this flow regime. This example studies ... En savoir plus
This example considers the turbulent flow of an oil-water suspension through an orifice. The oil droplets are broken up into smaller droplets by the turbulent stresses as the suspension passes through the orifice. The aim of this model is to track the distribution of droplet sizes. The ... En savoir plus
