Discussion Closed This discussion was created more than 6 months ago and has been closed. To start a new discussion with a link back to this one, click here.

Coupling of PDES

Please login with a confirmed email address before reporting spam

I'm looking to solve a series of PDEs in COMSOL, but I'm not sure how to couple the four of them. There are four dependent variables. How do I couple them together so that I can use dependent variables from one physics in another physics?


3 Replies Last Post 1 avr. 2019, 10:53 UTC−4
Jeff Hiller COMSOL Employee

Please login with a confirmed email address before reporting spam

Posted: 7 years ago 1 avr. 2019, 09:19 UTC−4

Hello Adamu,

If you use two (or more) dependent variables in one PDE, they will be coupled. There's nothing to it, really; just use the name of one (or more) of your unknowns in the equation for another of the unknowns. Or coupling can happen due to boundary conditions, edge conditions, constraints, but in all cases things work the same way: just type what you would write on paper.

If you're not doing that already, you'll want to use a single physics interface for all 4 dependent variables, rather than 4 physics interfaces one for each dependent variables.

Best,

Jeff

-------------------
Jeff Hiller
Hello Adamu, If you use two (or more) dependent variables in one PDE, they will be coupled. There's nothing to it, really; just use the name of one (or more) of your unknowns in the equation for another of the unknowns. Or coupling can happen due to boundary conditions, edge conditions, constraints, but in all cases things work the same way: just type what you would write on paper. If you're not doing that already, you'll want to use a single physics interface for all 4 dependent variables, rather than 4 physics interfaces one for each dependent variables. Best, Jeff

Please login with a confirmed email address before reporting spam

Posted: 7 years ago 1 avr. 2019, 10:15 UTC−4

Hi Jeff,

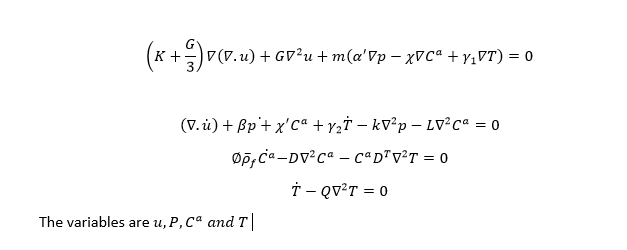
I am trying to model 4 equations. However, when I input the variable u1 in the first equation, and when I try to input same varaible as u1 in the second equation it gives me an error message. I have attached here my sample equations

Hi Jeff, I am trying to model 4 equations. However, when I input the variable u1 in the first equation, and when I try to input same varaible as u1 in the second equation it gives me an error message. I have attached here my sample equations


Jeff Hiller COMSOL Employee

Please login with a confirmed email address before reporting spam

Posted: 7 years ago 1 avr. 2019, 10:53 UTC−4
Updated: 7 years ago 1 avr. 2019, 11:20 UTC−4

Hi Adamu,

It would be difficult to say anything intelligent without seeing your mph file. Please post it here, thanks.

Jeff

-------------------
Jeff Hiller
Hi Adamu, It would be difficult to say anything intelligent without seeing your mph file. Please post it here, thanks. Jeff

Note that while COMSOL employees may participate in the discussion forum, COMSOL® software users who are on-subscription should submit their questions via the Support Center for a more comprehensive response from the Technical Support team.