Discussion Closed This discussion was created more than 6 months ago and has been closed. To start a new discussion with a link back to this one, click here.
In comsol5.5, how do I enter the matrix and compute it?
Posted 16 mars 2020, 09:25 UTC−4 6 Replies
Please login with a confirmed email address before reporting spam
Hi, I want to calculate the distribution of the electric field, but the expression has a matrix in it. So, what should I do to enter a matrix in coomsol5.5?
Please login with a confirmed email address before reporting spam
No detailed description of the problem?
-------------------ZHANG, Pu
School of Physics,
Huazhong University of Science and Technology
Please login with a confirmed email address before reporting spam
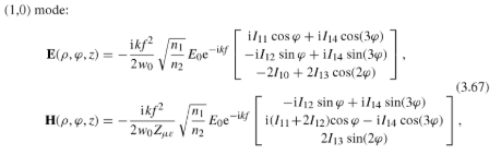
Hi, Dr. Zhang, I want to calculate the focal field distribution at the focal position of a tightly focused Gaussian beam. The expression of focal field distribution is shown in the following figure. So what should I do to enter the expression in comsol ?
Attachments:
Please login with a confirmed email address before reporting spam
It's not clear what OP is after because he already has an expression for the electric field.
That expression is for the vector components (normally we don't consider a vector to be a matrix). In COMSOL the vector components are entered...as components. That will be easy if OP is working in cylindrical coordinates. If not, he has more math to do.
Please login with a confirmed email address before reporting spam
Note to moderators: I get email about private messages on the .cn website but I can't view or reply to them.
Note to OP: I am not an optics person but explaining your objectives in more detail might yield some informed replies from others.
A general comment: In COMSOL it is possible to insert expressions into many of the boxes that appear to be for constants. For example, for the force applied on a domain it is possible to write an expression in terms of coordinates, or velocity, etc.
Please login with a confirmed email address before reporting spam
Hello Dave,
It sounds as though someone is trying to send you a private message from the cn.comsol.com domain. To access that message, you'll need to log into your COMSOL access from our Chinese website (Using the same username and password as usual). If you don't read Chinese: the website has the same layout as the www.comsol.com website, so it's fairly easy to guess where to click, type your password, etc, even without using a translation tool.
Best,
Jeff
PS: Logging into the cn. website unfortunately logs you out of the www. website so you'll have to re-log into your Access account on the www. website once you're done with the cn. website.
-------------------Jeff Hiller
Please login with a confirmed email address before reporting spam
Hi, Dr. Greve, Thank you for your kind reminder and solution. Best wishes Miao Peng
Note to moderators: I get email about private messages on the .cn website but I can't view or reply to them.
Note to OP: I am not an optics person but explaining your objectives in more detail might yield some informed replies from others.
A general comment: In COMSOL it is possible to insert expressions into many of the boxes that appear to be for constants. For example, for the force applied on a domain it is possible to write an expression in terms of coordinates, or velocity, etc.
Note that while COMSOL employees may participate in the discussion forum, COMSOL® software users who are on-subscription should submit their questions via the Support Center for a more comprehensive response from the Technical Support team.
Suggested Content
- KNOWLEDGE BASE Matrix Has Zero on Diagonal
- KNOWLEDGE BASE Error: Singular Matrix
- FORUM In comsol5.5, how do I enter the matrix and compute it?
- BLOG How to Make Boundary Conditions Conditional in Your Simulation
- FORUM How to enter Arrays
