Note: This discussion is about an older version of the COMSOL Multiphysics® software. The information provided may be out of date.
Discussion Closed This discussion was created more than 6 months ago and has been closed. To start a new discussion with a link back to this one, click here.
1D 4th order PDE using Weak Form
Posted 14 janv. 2012, 00:43 UTC−5 Modeling Tools & Definitions Version 4.1 2 Replies
Please login with a confirmed email address before reporting spam
Hello:
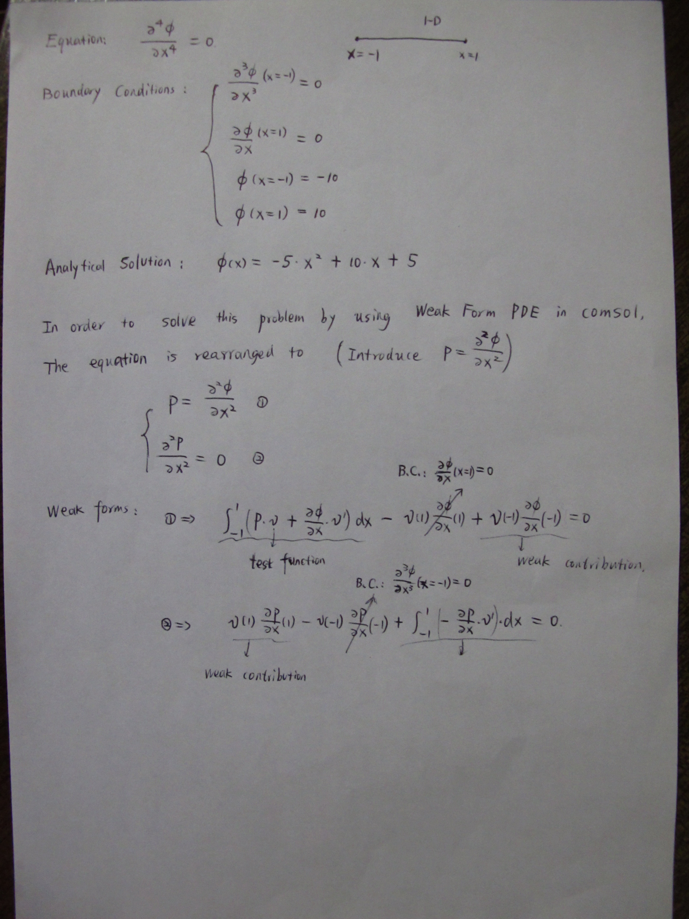
I'm new to the Weak Form Modeling in Comsol and I have some questions regarding the 1-Dimensional 4th oder PDE modeling using Weak Form. The equation is shown below: (a clear view of this problem is in .JPG file and .mph file)
d^4(phi)/dx^4 = 0, within domain: -1 <= x <= 1
Boundary conditions: d^3(phi)/dx^3 = 0 at x=-1
d(phi)/dx = 0 at x=1
phi = -10 at x=-1
phi = 10 at x=1
In order to solve the 4th order PDE in Comsol, I introduce a new variable P that P = d^2(phi)/dx^2. Then the equation becomes:
P = d^2(phi)/dx^2
d^2(P)/dx^2 = 0
I transform these two equations into weak forms and I get two weak form equations:
Integral(weak_expression_1) + weak_contribution_1 = 0
Integral(weak_expression_2) + weak_contribution_2 = 0
In Comsol, I can enter weak_expression_1 and weak_expression_2 in two boxes in Weak Form PDE 1 under PDE(w) module. Then I add weak_contribution_1 and weak_contribution_2 in Weak Contribution 1 and 2 under PDE(w) module. But when I solve this problem, the Comsol's result doesn't match the analytical solution (in the .JPG file).
My question is, when I enter the weak_contribution_1 and weak_contribution_2 in Weak Contribution under PDE(w) module, which equations does Comsol add them to, since there is only one box in the Weak Contribution (I'm expecting two boxes).
Many thanks in advance for any suggestions.
Best Regards
I'm new to the Weak Form Modeling in Comsol and I have some questions regarding the 1-Dimensional 4th oder PDE modeling using Weak Form. The equation is shown below: (a clear view of this problem is in .JPG file and .mph file)
d^4(phi)/dx^4 = 0, within domain: -1 <= x <= 1
Boundary conditions: d^3(phi)/dx^3 = 0 at x=-1
d(phi)/dx = 0 at x=1
phi = -10 at x=-1
phi = 10 at x=1
In order to solve the 4th order PDE in Comsol, I introduce a new variable P that P = d^2(phi)/dx^2. Then the equation becomes:
P = d^2(phi)/dx^2
d^2(P)/dx^2 = 0
I transform these two equations into weak forms and I get two weak form equations:
Integral(weak_expression_1) + weak_contribution_1 = 0
Integral(weak_expression_2) + weak_contribution_2 = 0
In Comsol, I can enter weak_expression_1 and weak_expression_2 in two boxes in Weak Form PDE 1 under PDE(w) module. Then I add weak_contribution_1 and weak_contribution_2 in Weak Contribution 1 and 2 under PDE(w) module. But when I solve this problem, the Comsol's result doesn't match the analytical solution (in the .JPG file).
My question is, when I enter the weak_contribution_1 and weak_contribution_2 in Weak Contribution under PDE(w) module, which equations does Comsol add them to, since there is only one box in the Weak Contribution (I'm expecting two boxes).
Many thanks in advance for any suggestions.
Best Regards
2 Replies Last Post 14 janv. 2012, 09:50 UTC−5
