Discussion Closed This discussion was created more than 6 months ago and has been closed. To start a new discussion with a link back to this one, click here.
AC electrothermal flow pumping - ACET body force ?!!
Posted 16 avr. 2020, 09:13 UTC−4 Low-Frequency Electromagnetics, Heat Transfer, Microfluidics Version 5.4 0 Replies
Please login with a confirmed email address before reporting spam
I am simulating AC electrothermal effect for fluid mixing/pumping in simple design of chamber with 2 electrodes over silicon substrate. I used Electric current module + heat transfer in solids & fluid + laminar flow with electromagnetic heating Multiphysics to couple between EC and HT.
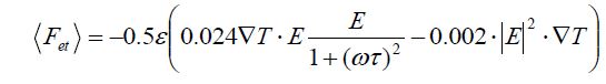
There is equation to be used as volume force that drag the fluid with permittivity and conductivity gradients resulting from AC applied signal. 2 Photos of equation is attached. no 1: Force equation represented by gradients of permittivity and conductivity no2: same equation but represented by change in Temperature gradient
I am stuck with writing any of the 2 equations in Comsol
What I know is that I can add all parts of equations in Variable section and define force in X and Y direction. I can define w, t stated in equation.
But I am not sure how (mathematically correct) to write full equation in Comsol ? Also, How E and nabla.T are defined ? nabla.sigma ? nabla.e ?
Someone can provide me with any ACET simulation files (not AC electroosmosis) with any design that include ACET body force added so I can see what I am missing ?
Hopefully someone with prior experience with ACET can enlighten me. Thanks in advance.
Here for more information https://www.comsol.com/paper/fast-biofluid-transport-of-high-conductive-liquids-using-ac-electrothermal-pheno-19635
Hello Ms Dr
Your Discussion has gone 30 days without a reply. If you still need help with COMSOL and have an on-subscription license, please visit our Support Center for help.
If you do not hold an on-subscription license, you may find an answer in another Discussion or in the Knowledge Base.
