Discussion Closed This discussion was created more than 6 months ago and has been closed. To start a new discussion with a link back to this one, click here.
Porous media - Ergun equation implementation
Posted 4 mai 2020, 21:52 UTC−4 Fluid & Heat, General, Computational Fluid Dynamics (CFD), Porous Media Flow, Mesh Version 5.5 0 Replies
Please login with a confirmed email address before reporting spam
Hello
I’m doing simulation of airflow through porous media. According to the characteristics of the flow and the geometry, the flow is turbulent, so after doing some simulations, the physics chosen was k-epsilon Low-Re, because of the wall treatment (Low Re). Geometry is a 2D rectangle representing a long tube with the porous bed in the middle of it.
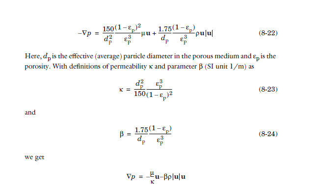
I included a volume force in order to simulate porous media. At flow conditions, the equation that represent it is Ergun Equation ( that could be expressed as Forchheimer eq). My implementation was as simple as :
Where ka is the permeability and b is beta parameter from Ergun equation shown at fig 5.
So, when I defined a horizontal cut line in the middle of the bed to see velocity profile, I found a problem because a velocity peak is shown at each side, near to the wall (fig 2 and fig 3). Since properties are isotropic, there no reason for this, so, there is something wrong.
I think it is not a boundary layer problem because I simulated it when having a fully developed flow and with 12 boundary layers (as default), shown at fig 1. Minimum mesh quality is 0.45, which I think is not so bad. I tried also using laminar flow conditions and Fluid and Matrix Properties as default which uses Darcy's Law, but the profile was similar.
Has anyone had this kind of problem? Am I missing something? How could I overcome this problem??
thanks in advance, Jhoan G.
Attachments:
Hello Jhoan Guerrero
Your Discussion has gone 30 days without a reply. If you still need help with COMSOL and have an on-subscription license, please visit our Support Center for help.
If you do not hold an on-subscription license, you may find an answer in another Discussion or in the Knowledge Base.
