Discussion Closed This discussion was created more than 6 months ago and has been closed. To start a new discussion with a link back to this one, click here.
Syntax check! PDEs interface
Posted 12 déc. 2020, 13:53 UTC−5 Bioengineering, Parameters, Variables, & Functions, Equation-Based Modeling Version 5.4 0 Replies
Please login with a confirmed email address before reporting spam
Hi everyone! I have to model 7 PDEs which are coupled, so I decided to use the PDE interface in COMSOL. I am not really sure if I'm writing the equations correctly, mostly when it comes to write the divergence or a gradient of a scalar/vector. I try to summarize my doubts: 1) When I have to consider the gradient of a scalar, I simply write "cx+cy", where c is my scalar (my model is in 2D).
2) In one of the equations, I have to consider the time derivative of the strain tensor, that has the formula shown in "IMAGE_1" attached.Again, since I only have x- and y-directions, when I have to consider the time derivative of this matrix in comsol I type "uxt" for the first component, "0.5*(uyt+vxt) for the second component and so on.
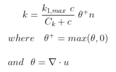
3) In one of the equations, I have the term indicated in "IMAGE_2", so when I have to write this in COMSOL I type "(k1max/Ck+c)* (n) * (max(ux+vy),0).
4) Finally, I have to model a piecewise term and by reading some other threads I thought to write: (ab) * (x<d) * (x>c) where a,b,c,d are numbers and x is the variable theta indicated above. In this way I hope to model del condition: if c<x < d then (ab) is different from 0.
Can you tell me if I wrote everything correctly? Also books or slides about COMSOL language are accepted. I know my post is a bit messy, so if some screenshots are needed I will be pleased to post them. Thanks to anyone who will answer.
Attachments:
Hello Francesco Galardo
Your Discussion has gone 30 days without a reply. If you still need help with COMSOL and have an on-subscription license, please visit our Support Center for help.
If you do not hold an on-subscription license, you may find an answer in another Discussion or in the Knowledge Base.

