Note: This discussion is about an older version of the COMSOL Multiphysics® software. The information provided may be out of date.
Discussion Closed This discussion was created more than 6 months ago and has been closed. To start a new discussion with a link back to this one, click here.
defining a recursive function without MATLAB
Posted 24 avr. 2012, 08:24 UTC−4 Parameters, Variables, & Functions Version 4.2a 0 Replies
Please login with a confirmed email address before reporting spam
is there anybody with a good idea?
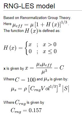
I want to define a function depends on itself? Actually I use Matlab, but it runs without parallel toolbox too slow.
In the atached file you can find my function. I have to realize:
f(x)=f(f(x))
what can be solved for during iteration of the PDEs.
Best regards
Michael
PS: RNG-LES from www.cfd-online.com
Attachments:
Hello Michael Rembe
Your Discussion has gone 30 days without a reply. If you still need help with COMSOL and have an on-subscription license, please visit our Support Center for help.
If you do not hold an on-subscription license, you may find an answer in another Discussion or in the Knowledge Base.
