Discussion Closed This discussion was created more than 6 months ago and has been closed. To start a new discussion with a link back to this one, click here.
Acoustic streaming problem
Posted 30 oct. 2022, 09:15 UTC−4 Structural & Acoustics, Microfluidics, Physics Interfaces Version 5.3a 6 Replies
Please login with a confirmed email address before reporting spam
Hello,
I'm simulating the acoustic streaming induced by ultrasound, and I found a journal paper as reference but still couldn't get the right results (compared with the paper).
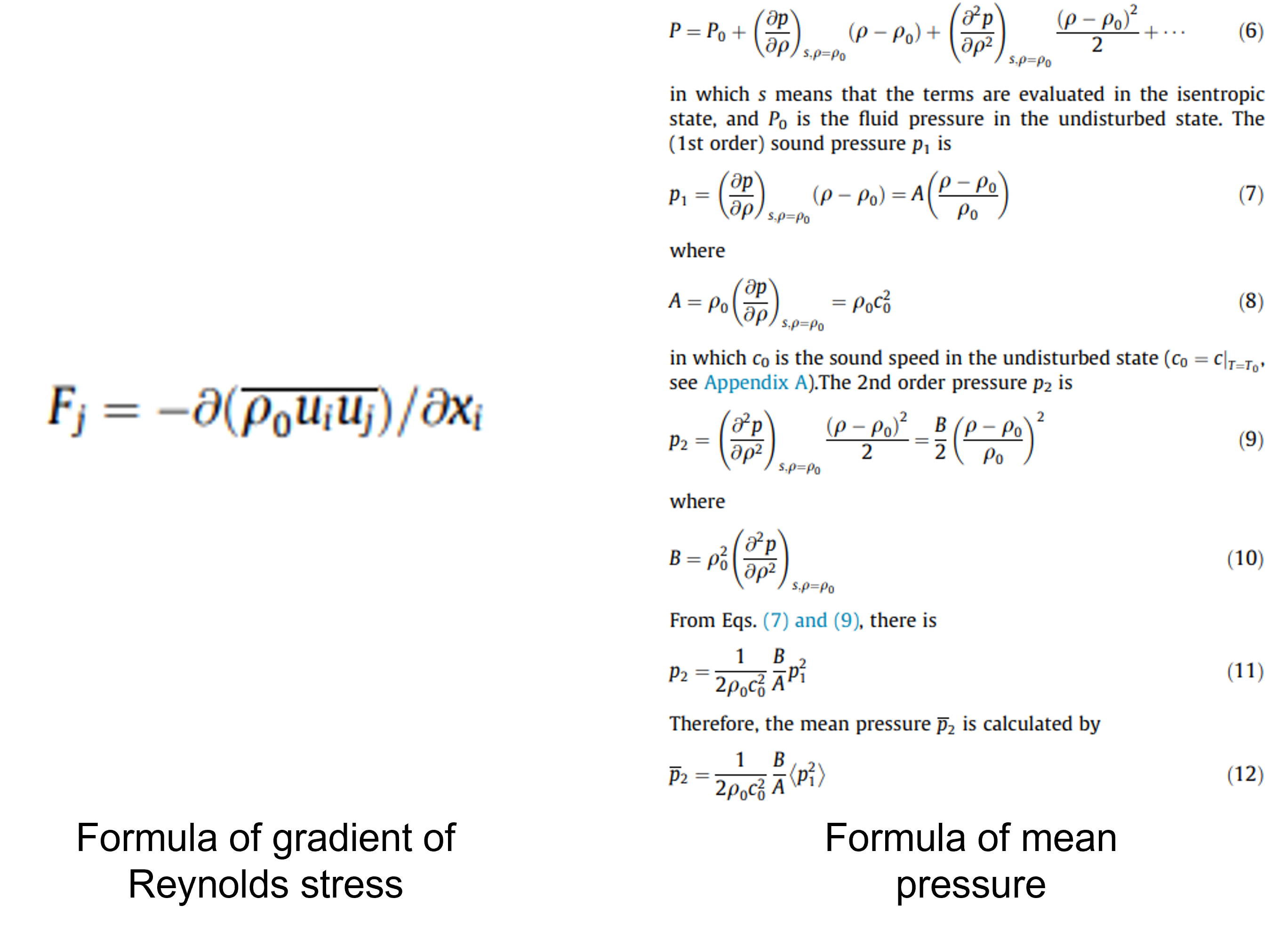
The paper states that acoustic streaming can be separated by two steps, and the results from first step can be treated as forcing term for the second step, so my procedure was as follow: 1. Using thermoviscous acoustic module to get the vibration velocity and sound pressure. 2. Evaluating the a) gradient of Reynolds stress and b) mean pressure (which are representing two forcing terms of acoustic streaming) and added into creep flow moduls by volume force node.
Compared to the reference paper, the pressure distribution for the first step seems to be correct, but the results for the creep flow seems to be incorrect, because I can't match the reference paper, so I think the syntax of forcing term was incorrect, but I don't know what's wrong.
My syntax of the forcing term is attached, as well as the comparison of my simulation results and the reference paper.
Please tell me where was wrong, thank you very much!
Attachments:
Please login with a confirmed email address before reporting spam
Dear 宇宣 林,
It is difficult to compare the pressure because of the difference of color scale (one is linear symmetric and the other is not). I also do not know if this a one phase component of pressure or magnitude as in one of the titles. The pressure does look to be trending right but at least something is off because the pressure seems to be off by a factor of -1 (at the origin one pressure is positive and the other pressure is negative).
When computing the force in this way, you need to be careful with the index notation (product underneath the partial operator). If I'm not mistaken, this requires the product rule. I recommend reading Hamilton's Nonlinear Acoustics text, which has a detailed chapter on streaming. In vector notation, the force can be written as . This equation can be found in chapter 7 and is equivalent to the expression in your screenshot.
Lastly it is very difficult to benchmark a model from scratch to a publication. You need to make sure enough information is provided in the publication and that the materials, geometry, and boundary conditions match exactly. You may have some success reaching out the the authors of the publication to ask about their model or see if they will provide the model file, for example.
Best,
Mark
Please login with a confirmed email address before reporting spam
Dear 宇宣 林,
It is difficult to compare the pressure because of the difference of color scale (one is linear symmetric and the other is not). I also do not know if this a one phase component of pressure or magnitude as in one of the titles. The pressure does look to be trending right but at least something is off because the pressure seems to be off by a factor of -1 (at the origin one pressure is positive and the other pressure is negative).
When computing the force in this way, you need to be careful with the index notation (product underneath the partial operator). If I'm not mistaken, this requires the product rule. I recommend reading Hamilton's Nonlinear Acoustics text, which has a detailed chapter on streaming. In vector notation, the force can be written as \bf{F} =\langle -\rho (\bf{u} \cdot \nabla u) + u \nabla \cdot \rho u \rangle. This equation can be found in chapter 7 and is equivalent to the expression in your screenshot.
Lastly it is very difficult to benchmark a model from scratch to a publication. You need to make sure enough information is provided in the publication and that the materials, geometry, and boundary conditions match exactly. You may have some success reaching out the the authors of the publication to ask about their model or see if they will provide the model file, for example.
Best,
Mark
Hi Mark,
Thanks for your reply, indeed I can't make sure my model is the same as the one in the article, but this paper is the most cleary one in describing the geometry and material properties; anyway, I'll try to figure out where did I miss or do wrong by following your suggestions, still, thank a lot for your help!
Please login with a confirmed email address before reporting spam
Dear 宇宣 林,
I just want to inform you that in the new realease of COMSOL 6.1 there som built in functionality to model acoustic streaming, see https://www.comsol.com/release/6.1/acoustics-module
To complement Mark's answer I think the discrepancy between your model and the reference paper is that the reference paper does not include the viscous boundary layers (although it is hard to say based on two figures). Your streaming seems to be driven from the boundaries while the reference paper is driven from the bulk of the fluid.
If you want to compare to the reference paper I suggest you to use Pressure Acoustics to model the acoustic field and thereby neglecting the viscous boundary layers.
Best, Jonas
Please login with a confirmed email address before reporting spam
Dear 宇宣 林,
I just want to inform you that in the new realease of COMSOL 6.1 there som built in functionality to model acoustic streaming, see
To complement Mark's answer I think the discrepancy between your model and the reference paper is that the reference paper does not include the viscous boundary layers (although it is hard to say based on two figures). Your streaming seems to be driven from the boundaries while the reference paper is driven from the bulk of the fluid.
If you want to compare to the reference paper I suggest you to use Pressure Acoustics to model the acoustic field and thereby neglecting the viscous boundary layers.
Best, Jonas
Hi Jonas,
Thank you for your enthusiastic reply, in fact, I also want to practice writing multiphysics coupling by reproducing this model :)
In my knowledge, the acoustic streaming can be modeled by Rayleigh streaming which is generated by boundary, and Eckart streaming which is generated from the bulk of the fluid, however, in the reference paper, it doesn't mention about which principle does it used but only model two of the forcing terms, I'm not sure why, maybe I missed something.
Attachments:
Please login with a confirmed email address before reporting spam
Dear 宇宣 林,
Yes the source for acoustic stremaing is typically divided into a boundary source (Rayleigh) and bulk source (Eckart).
The attached paper uses pressure acoustics to model the acoustic field (in equation 1) thereby not modelling the velocity field. And since they do not use any special boundary condition on the acoustic streaming field I do not think they include Rayleigh streaming. To include the Rayleigh streaming it is necessary to include the viscous boundary layers, which are not included by standard pressure acoustics. The acoustic velocity in the force expression in equation 5 will be dervied from the acoustic pressure, and I strongly believe it only includes the terms for the Eckart streming.
Including the Rayleigh streaming requires that the viscous boundary layers is included either by solving for both pressure and velocity field as in Thermoviscous Acoustics in COMSOL, or by including them analytically.
Best regards, Jonas
Please login with a confirmed email address before reporting spam
Hi Jonas,
Thank you very much for the detailed explanation, it really impressed me.
Note that while COMSOL employees may participate in the discussion forum, COMSOL® software users who are on-subscription should submit their questions via the Support Center for a more comprehensive response from the Technical Support team.
