Discussion Closed This discussion was created more than 6 months ago and has been closed. To start a new discussion with a link back to this one, click here.
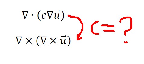
Comsol PDE coefficient form
Posted 22 janv. 2013, 00:04 UTC−5 0 Replies
Please login with a confirmed email address before reporting spam
Tanks for your help.
Attachments:
Hello Tang Linlong
Your Discussion has gone 30 days without a reply. If you still need help with COMSOL and have an on-subscription license, please visit our Support Center for help.
If you do not hold an on-subscription license, you may find an answer in another Discussion or in the Knowledge Base.
