Discussion Closed This discussion was created more than 6 months ago and has been closed. To start a new discussion with a link back to this one, click here.
How to add extra Terms in Existing Physics Equation or Edit the equation
Posted 16 oct. 2024, 08:59 UTC−4 Fluid & Heat, Interfacing, Physics Interfaces Version 6.0 1 Reply
Please login with a confirmed email address before reporting spam
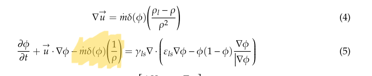
Hello I am trying to build a 2d model from level set equation .My equation is a modified level set equation with an extra term(highlighted the term). I have attached the image of the equation(equation 5). I want to add that term in the existing level set equation of comsol (attached the image of comsol interface). I cannot find the way to add new term to it. Please help me with that. Thank you
