Note: This discussion is about an older version of the COMSOL Multiphysics® software. The information provided may be out of date.
Discussion Closed This discussion was created more than 6 months ago and has been closed. To start a new discussion with a link back to this one, click here.
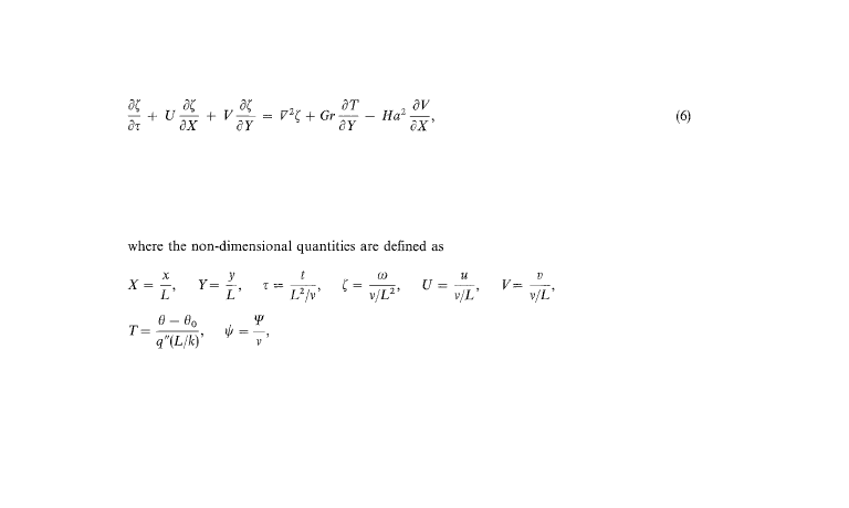
User defined PDE
Posted 13 mars 2015, 15:04 UTC−4 Heat Transfer & Phase Change, Computational Fluid Dynamics (CFD), Studies & Solvers Version 4.4 0 Replies
Please login with a confirmed email address before reporting spam
Regards
Subramanian Aiyer
Attachments:
Hello Subramanian Aiyer
Your Discussion has gone 30 days without a reply. If you still need help with COMSOL and have an on-subscription license, please visit our Support Center for help.
If you do not hold an on-subscription license, you may find an answer in another Discussion or in the Knowledge Base.
