Discussion Closed This discussion was created more than 6 months ago and has been closed. To start a new discussion with a link back to this one, click here.
İntroducing a derivative function to 'f' in Coefficient From PDE
Posted 4 août 2015, 12:19 UTC−4 Heat Transfer & Phase Change Version 5.0 0 Replies
Please login with a confirmed email address before reporting spam
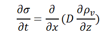
İ want to implement an equation but i couldnt find a way to do it the equation is in the file attachment..
D is a constant
rho is water vapor density and the thing i want it to calculate
ive tried coefficient form from mathematics>PDE interfaces>Coefficient form
if i use coefficient form i have to introduce the first section of the equation to 'f' but i do not know how to introduce a derivative function to f (i do not how to write it)
And the other thing is that sigma there is a function changes with time as well but when i learn how to introduce it to the function ill just write it to parameters as a function of time(t) so i think it wont be a problem
Attachments:
Hello Hakan Tarık Meriç
Your Discussion has gone 30 days without a reply. If you still need help with COMSOL and have an on-subscription license, please visit our Support Center for help.
If you do not hold an on-subscription license, you may find an answer in another Discussion or in the Knowledge Base.
