AC Breakdown Voltage of Parallel Electrodes in Air
Application ID: 140581
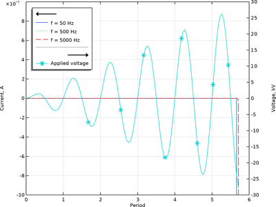
The model estimates the AC breakdown voltage between parallel electrodes in air by simulating charge transport dynamics. To keep computations efficient, it is implemented in one dimension, though it can be adapted for different gases and extended to higher-dimensional setups. The simulation results show strong agreement with experimental values reported in the literature.
This model example illustrates applications of this type that would nominally be built using the following products:
however, additional products may be required to completely define and model it. Furthermore, this example may also be defined and modeled using components from the following product combinations:
The combination of COMSOL® products required to model your application depends on several factors and may include boundary conditions, material properties, physics interfaces, and part libraries. Particular functionality may be common to several products. To determine the right combination of products for your modeling needs, review the Grille des Spécifications and make use of a free evaluation license. The COMSOL Sales and Support teams are available for answering any questions you may have regarding this.
