La Bibliothèque d'Applications présente des modèles construits avec COMSOL Multiphysics pour la simulation d'une grande variété d'applications, dans les domaines de l'électromagnétisme, de la mécanique des solides, de la mécanique des fluides et de la chimie. Vous pouvez télécharger ces modèles résolus avec leur documentation détaillée, comprenant les instructions de construction pas-à-pas, et vous en servir comme point de départ de votre travail de simulation. Utilisez l'outil de recherche rapide pour trouver les modèles et applications correspondant à votre domaine d'intérêt. Notez que de nombreux exemples présentés ici sont également accessibles via la Bibliothèques d'Applications intégrée au logiciel COMSOL Multiphysics® et disponible à partir du menu Fichier.
This tutorial model demonstrates how to use the Combined Inductively/DC Discharge interface to simulate the plasma generated in a pulsed arc. This modeling technique is useful for a large range of industrial applications including cutting, welding, spraying, waste destruction, and ... En savoir plus
This tutorial model illustrates how to calculate the pressure drop and initial flow rate in a pipe system connected to water tank. The Pipe Flow interface contains ready to use friction models accounting for the surface roughness of pipes as well as pressure losses in bends and valves. En savoir plus
This tutorial shows how to couple three physics interfaces to model evaporative cooling. The effects that need to be taken into account are heat transfer, transport of water vapor, and fluid flow. The Wet Surface feature is used to implement the source term for the water vapor and to ... En savoir plus
This example illustrates the principle of electrochemical polishing. The simplified 2D model geometry consists of two electrodes and an intermediate electrolyte domain The positive electrode has a protrusion, representing a surface defect. The purpose of the model is to examine how this ... En savoir plus
This model presents a 2D axisymmetric dipolar microwave plasma source sustained through resonant heating of the electrons. This is known as electron cyclotron resonance (ECR), which occurs when a suitable high magnetic flux density is present along with the microwaves. This is an ... En savoir plus
This example models cathodic protection of a steel reinforcing bar in concrete. Three different electrochemical reactions are considered on the steel surface. Charge and oxygen transport are modeled in the concrete domain, where the electrolyte conductivity and oxygen diffusivity depend ... En savoir plus
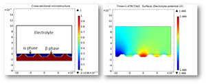
Galvanic corrosion between two different phases (alpha and beta phases) in a metallic (magnesium) alloy is simulated for a representative cross-sectional microstructure configuration. A key feature in the model formulation is the implementation of both anodic and cathodic regions at ... En savoir plus
The ball grid array (BGA) technology is a surface-mount technology widely used in electronic packaging. Usually, there are two types of solder balls considered in the array, including the functional balls that are required for electric connections and the support balls that are used only ... En savoir plus
Solar concentrator/cavity receiver systems can be used to focus incident solar radiation into a small region, generating intense heat which can then be converted to electrical or chemical energy. A common figure of merit in solar thermal power systems is the concentration ratio, or the ... En savoir plus
This tutorial model illustrates the use of the nucleate boiling heat flux features to compute the transient cooling of a cylindrical rod plated with nickel, and immersed in a pool of boiling water. The temperature and heat flux results obtained with a 3D time-dependent computation, with ... En savoir plus
