La Bibliothèque d'Applications présente des modèles construits avec COMSOL Multiphysics pour la simulation d'une grande variété d'applications, dans les domaines de l'électromagnétisme, de la mécanique des solides, de la mécanique des fluides et de la chimie. Vous pouvez télécharger ces modèles résolus avec leur documentation détaillée, comprenant les instructions de construction pas-à-pas, et vous en servir comme point de départ de votre travail de simulation. Utilisez l'outil de recherche rapide pour trouver les modèles et applications correspondant à votre domaine d'intérêt. Notez que de nombreux exemples présentés ici sont également accessibles via la Bibliothèques d'Applications intégrée au logiciel COMSOL Multiphysics® et disponible à partir du menu Fichier.
In these tutorial series, we demonstrate how to use the Offset Faces and Transform Faces operations as a way to reparameterize existing holes in a bracket geometry imported from a STEP file. The mass of the bracket is minimized with limits for both the lowest natural frequency, and for ... En savoir plus
The pyrolysis of a centimeter-sized wood particle presents a fully coupled multiphysics problem with mass transfer, fluid flow, and heat transfer. This example model consists of two parts. The first part demonstrates how to set up a model describing the pyrolysis of a porous, ... En savoir plus
One method for removing cancerous tumors from healthy tissue is to heat the malignant tissue to a critical temperature that kills the cancer cells. This example accomplishes the localized heating by inserting a four-armed electric probe through which an electric current runs. Equations ... En savoir plus
This is a template base model containing the physics, geometry and mesh of a lithium-ion battery, defined in 1D. The model makes use of four lithiation parameters which are used to define the relative balancing of the negative and positive electrodes, as well as global cell state of ... En savoir plus
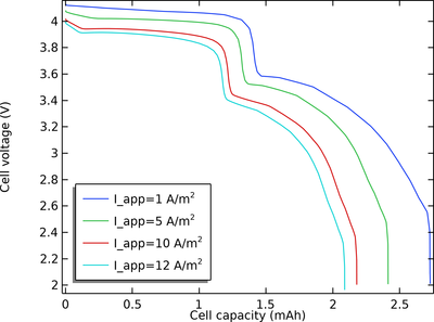
Sodium-ion batteries (SIB) are commonly presented as an alternative to lithium-ion batteries (LIB). The SIB chemistry uses Na+ instead of Li+ for electrolyte charge transport and as redox species in the electrode reactions, with the advantage of Na+ being more abundant and with a ... En savoir plus
Piezoelectric devices are widely used as sources to generate sound waves or receivers to detect acoustic signals. In applications such as ultrasound imaging and nondestructive testing, the same transducer can be used as a transmitter to send a source signal and receiver to detect ... En savoir plus
This is a conceptual model of a microphone placed in an infinite baffle (flush mounted). The purpose is to determine the free-field level correction curve of the setup, which includes the exterior domain, microphone grid, and volume between the grid and the diaphragm. The microphone ... En savoir plus
This example shows how to make a simple model for a binary distillation process. A thermodynamics property package, available in the Chemical Reaction Engineering Module, is created to study the separation of a nonideal mixture of ethanol and water. The required equilibrium relationship ... En savoir plus
The model studies optimal material distribution in a hook, which is symmetric about the z plane and consists of a linear elastic material, structural steel. It is subjected to two distributed edge load cases: One at the tip of the hook and one along its lower inner curve. The geometry is ... En savoir plus
Stents are used in biomedical applications to support the inner wall of veins and arteries. Self-expanding stents made of shape memory alloys work differently from balloon-inflated stents, as these stents are crimped to the artery diameter at low temperature then released while the blood ... En savoir plus
