La Bibliothèque d'Applications présente des modèles construits avec COMSOL Multiphysics pour la simulation d'une grande variété d'applications, dans les domaines de l'électromagnétisme, de la mécanique des solides, de la mécanique des fluides et de la chimie. Vous pouvez télécharger ces modèles résolus avec leur documentation détaillée, comprenant les instructions de construction pas-à-pas, et vous en servir comme point de départ de votre travail de simulation. Utilisez l'outil de recherche rapide pour trouver les modèles et applications correspondant à votre domaine d'intérêt. Notez que de nombreux exemples présentés ici sont également accessibles via la Bibliothèques d'Applications intégrée au logiciel COMSOL Multiphysics® et disponible à partir du menu Fichier.
This parametrized model can be used to simulate the hopping hoop problem. A rolling ring with a point mass on the perimeter can, under certain conditions, jump up from the surface on which it is rolling. A more detailed description of this model can be found in the blog post "The ... En savoir plus
Learn how to combine imported CAD with STL meshes in COMSOL Multiphysics using an example of a dental implant. The STL mesh is prepared in a Mesh Part, the imported CAD assembly is prepared in the Geometry sequence, and the two are combined in a Mesh-Based Geometry sequence. Watch this ... En savoir plus
Surface reactions with adsorption-reaction-desorption steps are common in for example photocatalysis and biosensors. A flow cell in a biosensor contains an array of micropillars for adsorption of for example antigens in aqueous solutions. A signal proportional to the surface coverage can ... En savoir plus
Learn how to repair, edit and combine imported surface meshes in COMSOL Multiphysics. This model demonstrates how to cut out a part of the upper jaw, remove elements from the mesh, and combine the meshes of the teeth and bone. Watch this video on editing, repairing, and combining ... En savoir plus
As an analyte band flows through a curved channel in an electroosmotically driven flow, dispersion of the band occurs due to gradients in the fluid velocity across the channel. These velocity gradients result from differences in the electric field acting at the walls within the curved ... En savoir plus
This example shows how to create a time-limited and hardware-locked application. It is associated with the section "Time-Limited and Hardware-Locked Applications" in the Application Programming Guide En savoir plus
This example of a simulation application shows how to add a user-defined license agreement, which you can use to protect applications that you publish and distribute. En savoir plus
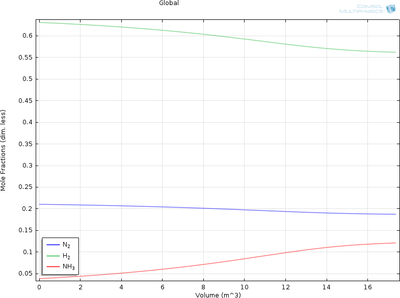
This example demonstrate the modeling of a plug flow reactor for the synthesis of ammonia in the Haber-Bosch process. The catalytic reactor in this process operates under non-isothermal conditions, where temperature and pressure varies substantially along the length of the reactor, in ... En savoir plus
This model demonstrates how to model the inductive heating of a material with a temperature-dependent BH curve using the Magnetic Fields Formulation interface. En savoir plus
This application generates both random and deterministic microstructures from imported CAD models or predefined primitive objects. Structures can be created using Gaussian random fields, random particles, periodic geometries such as gyroids and other TPMS structures, or combinations ... En savoir plus
