La Bibliothèque d'Applications présente des modèles construits avec COMSOL Multiphysics pour la simulation d'une grande variété d'applications, dans les domaines de l'électromagnétisme, de la mécanique des solides, de la mécanique des fluides et de la chimie. Vous pouvez télécharger ces modèles résolus avec leur documentation détaillée, comprenant les instructions de construction pas-à-pas, et vous en servir comme point de départ de votre travail de simulation. Utilisez l'outil de recherche rapide pour trouver les modèles et applications correspondant à votre domaine d'intérêt. Notez que de nombreux exemples présentés ici sont également accessibles via la Bibliothèques d'Applications intégrée au logiciel COMSOL Multiphysics® et disponible à partir du menu Fichier.
This suite of examples illustrate the modeling of selective NO reduction, that occurs as flue gases pass through the channels of a monolithic reactor in the exhaust system of a motored vehicle. The simulations are aimed at finding the optimal dosing of NH3, the reactant that serves as ... En savoir plus
This model reproduces the NiCd battery model and the results presented in De Vidts' and White's paper from 1995. Ref: P. De Vidts, R. E. White, “Mathematical Modeling of a Nickel-Cadmium Cell: Proton Diffusion in the Nickel Electrode”, J. Electrochem. Soc, Vol. 142, No. 5, May 1995. En savoir plus
It is often not possible to insert a normal microphone directly into the sound field being measured. The microphone may be too big to fit inside the measured system, such as for in-the-ear measurements for hearing aid fitting. The size of the microphone may also be too large compared to ... En savoir plus
The Pipe Flow interface allows you to simulate non-Newtonian fluids flowing in pipes. This example models a coal slurry being transported in a pipe system where the pipe diameter changes in different sections. The slurry behaves as a non-Newtonian fluid described by the power law model. ... En savoir plus
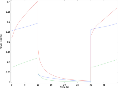
This example computes the power losses in a lithium-ion battery when exposed to high current pulses in a hybrid pulse power characterization (HPPC) test. Power loss contributions stemming from different phenomena are analyzed, as well as the total power losses pertaining to the ... En savoir plus
This example extends the analysis made in the model Electrodeposition on a Resistive Patterned Wafer by including the diffusion and convection of copper ions in the electrolyte. The coupled mass transport convection-diffusion effects are of interest in this type of reactor since they ... En savoir plus
When several components are to be electroplated they are typically mounted on a rack in the electroplating bath. An important aspect is then achieving a uniform thickness of the plated layer for all components mounted on the rack. This example model allows for investigating the effect ... En savoir plus
The backward facing step is an interesting case for studying the performance and solution strategy of a turbulence model. In this case, the flow is subjected to a sudden increase of cross-sectional area, resulting in a separation of flow starting at the point of expansion. Spatial ... En savoir plus
Whenever dimensions in waveguides become small compared to the viscous and thermal boundary layers it is necessary to model acoustics using thermoacoustics. In the present model the thermoacoustic wave field in a shallow uniform waveguide is modeled and compared to an analytical solution. En savoir plus
A tubular centrifuge is a type of centrifugal separation device that is often used for separation of very fine solid particles from a liquid. It can be run in both a continuous and batch type configurations. The device usually consists of a cylindrical rotating bowl with a large aspect ... En savoir plus
