La Bibliothèque d'Applications présente des modèles construits avec COMSOL Multiphysics pour la simulation d'une grande variété d'applications, dans les domaines de l'électromagnétisme, de la mécanique des solides, de la mécanique des fluides et de la chimie. Vous pouvez télécharger ces modèles résolus avec leur documentation détaillée, comprenant les instructions de construction pas-à-pas, et vous en servir comme point de départ de votre travail de simulation. Utilisez l'outil de recherche rapide pour trouver les modèles et applications correspondant à votre domaine d'intérêt. Notez que de nombreux exemples présentés ici sont également accessibles via la Bibliothèques d'Applications intégrée au logiciel COMSOL Multiphysics® et disponible à partir du menu Fichier.
Lattice materials enable the creation of advanced additive manufacturing materials with customized mechanical properties. At the macroscopic level, these heterogeneous materials can be modeled as homogeneous materials. Homogenization techniques can accurately determine the material's ... En savoir plus
This tutorial model of a two-hot-arm thermal actuator couples three different physics phenomena: electric current conduction, heat conduction with heat generation, and structural stresses and strains due to thermal expansion. The model exists in three versions: Joule Heating of a ... En savoir plus
This tutorial demonstrates the operation of a gyroscope based on design provided by Dr. James Ransley at Veryst Engineering, LLC. The model uses the Electromechanics coupling with the mixed finite element formulation in the Electrostatics interface. En savoir plus
An important step in brewing beer is the fermentation process. Here, alcohol is formed together with various flavor substances from sugars in the presence of yeast. The initial sugar content, temperature, and yeast type dictate how the fermentation proceeds. In this example, the ... En savoir plus
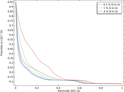
Due to its high capacity, silicon (Si) is often added to graphite in the negative electrode of lithium-ion batteries. Silicon–graphite blended electrodes may exhibit significant thermodynamic voltage hysteresis (“path dependence”) because the equilibrium potential of the lithium–silicon ... En savoir plus
This tutorial shows how to model the tubular permanent magnet generator in 2D axisymmetry. The generator consists of a modular stationary stator and moving/oscillating slider. The stator is made of three-phase multiturn windings and an iron core. The slider is made of permanent magnets ... En savoir plus
This model simulates convective heat transfer in a channel filled with water. To reduce memory requirements, the model is solved repeatedly on a pseudo-periodic section of the channel. Each solution corresponds to a different section, and before each solution step the temperature at the ... En savoir plus
A corner cube retroreflector can be used to reflect rays in a direction exactly antiparallel to their initial direction, regardless of the angle of incidence. This tutorial shows how to simulate the reflection of a bundle of rays at a corner cube retroreflector using the Geometrical ... En savoir plus
An eigenfrequency study is used to find the resonance frequency and threshold gain for an oxide-confined, GaAs-based, vertical-cavity surface-emitting laser (VCSEL). The simulations are performed in two steps. A regular eigenfrequency analysis is first performed, to find good initial ... En savoir plus
Fluid dampers are used in military devices for shock isolation and in civil structures for suppressing earthquake-induced shaking and wind-induced vibrations, among many other applications. Fluid dampers work by dissipating the mechanical energy into heat. This model shows the phenomenon ... En savoir plus
