- Bridging the Terahertz Gap
- Modeling the Lithium-Ion Battery
- Protection contre la Corrosion
- Modélisation des batteries
- Modélisation et Simulation dans le développement des piles à combustible
- Modélisation thermique des petits satellites
- Analyse électro-vibroacoustique d'un transducteur à armature équilibrée
Consultez les proceedings de la Conference COMSOL 2024
Electrical Stimulation is widely used today for Deep Brain Stimulation treatments and retinal prostheses. The Electrical Double Layer formed at the interface between the electrode surface and the extracellular medium is considered thru the linear Helmholtz model and the nonlinear more ... En savoir plus
The aim of this paper is to study the effect of geometrical optimization of an array configuration for a unimorph piezoelectric cantilever element. The process involves connecting a previously optimized unimorph piezoelectric cantilever in a two-element array, then in a three-element ... En savoir plus
The feasibility of phase-sensitive detection of angular-rates using bi-directional orbiting piezoresonators suspended by thick annular springs with thin-film aluminium nitride piezoactuators on top of them was investigated. The ring-shaped flexures are more suitable for supporting the ... En savoir plus
A finite element model of a polymer electrolyte membrane fuel cell (PEMFC) is described in this paper. We divide the PEMFC into two separate and parallel 2D regions which are connected by the 1D regions representing the membrane electrode assembly (MEA). COMSOL Multiphysics® was used as ... En savoir plus
In this paper, the gross electrical characterization of biological cells on porous substrate is analyzed using COMSOL Multiphysics®. Dynamic electrical characterization during cell growth is used as a non-invasive and label-free technique to understand the growth kinetics of cells. It is ... En savoir plus
Rick has a BS in Physics, a ScM in Geological Sciences, and a PhD in Physics. He worked at Air Force Geophysics Laboratory, Conoco Petroleum Exploration Research, and, since 1989, has been at the DuPont Experimental Station. In this industrial setting, Rick has had opportunity to work on ... En savoir plus
Ion-selective membranes can be used in lab-on-a-chip devices for various portable applications in this field. These devices can be used as concentrators for analytical chemistry and for micro-scale filtration. Here, a binary aqueous electrolyte solution in a microchannel has a potential ... En savoir plus
Cantilever beam-type transducers have been in great demand and explored widely in the recent years, typically in thin film form because of their sensor and actuator applications. The piezoelectric cantilever is the most preferred structure employed in technological applications. ... En savoir plus
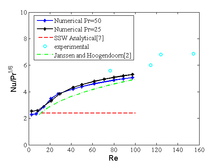
The work is focused on the numerical analysis of forced convection in curved tubes investigating the correlation between the heat transfer and friction factor enhancement and the effects of the wall curvature. The analysis was performed by integrating the continuity, momentum and energy ... En savoir plus
This work presents a method to calculate AC losses in thin conductors such as the commercially available second generation superconducting wires through a multiscale meshing technique. The main idea is to use large aspect ratio elements to accurately simulate thin material layers. For a ... En savoir plus
