La Bibliothèque d'Applications présente des modèles construits avec COMSOL Multiphysics pour la simulation d'une grande variété d'applications, dans les domaines de l'électromagnétisme, de la mécanique des solides, de la mécanique des fluides et de la chimie. Vous pouvez télécharger ces modèles résolus avec leur documentation détaillée, comprenant les instructions de construction pas-à-pas, et vous en servir comme point de départ de votre travail de simulation. Utilisez l'outil de recherche rapide pour trouver les modèles et applications correspondant à votre domaine d'intérêt. Notez que de nombreux exemples présentés ici sont également accessibles via la Bibliothèques d'Applications intégrée au logiciel COMSOL Multiphysics® et disponible à partir du menu Fichier.
This model file was used for creating the plots featured in the blog post "How to Model Ion-Exchange Membranes and Donnan Potentials". En savoir plus
A bipolar membrane consists of one anion-selective, and one cation-selective membrane, in contact with each other. The combined cation and anion selectivity makes the bipolar membrane highly impermeable to all ions, with the exception of H+ and OH- which are formed by water splitting ... En savoir plus
The present model example is based on Copper Deposition in a Trench model available in Electrodeposition Application Library. The nonuniform deposition along the trench surface leads to formation of a cavity/void. Since the Deformed Geometry interface cannot handle topological changes, ... En savoir plus
The present model example is based on Copper Deposition in a Trench model available in Electrodeposition Application Library. The nonuniform deposition along the trench surface leads to formation of a cavity/void. Since the Deformed Geometry interface cannot handle topological changes, ... En savoir plus
This tutorial shows how to model the propagation of acoustic waves in large pipe systems by coupling the Pipe Acoustics interface to the Pressure Acoustics interface. The tutorial is set up in both the time domain and the frequency domain. 1D pipe acoustics is used to model the ... En savoir plus
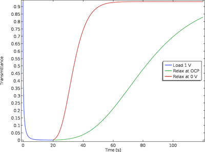
Electrochromic devices (ECDs) may be employed in ”smart” windows, for instance in buildings or motor cycle visors, where the transparency of the device can be controlled by applying a voltage. ECDs make use of the fact that the absorbance of visual light for a chemical species in a ... En savoir plus
In this set of eight tutorial models and associated documentation, you can investigate the resistive, capacitive, inductive, and thermal properties of a standard three-core lead-sheathed XLPE HVAC submarine cable with twisted magnetic armor (500 mm2, 220 kV). The series includes a 2D, 2D ... En savoir plus
The purpose of the app is to demonstrate and simulate the use of cyclic voltammetry. You can vary the bulk concentration of both species, transport properties, kinetic parameters, as well as the cycling voltage window and scan rate. Cyclic voltammetry is a common analytical technique ... En savoir plus
The purpose of this app is to understand EIS, Nyquist, and Bode plots. The app lets you vary the bulk concentration, diffusion coefficient, exchange current density, double layer capacitance, and the maximum and minimum frequency. Electrochemical impedance spectroscopy (EIS) is a common ... En savoir plus
Voltammetry is modeled at a microelectrode of 10um radius. In this common analytical electrochemistry technique, the potential at a working electrode is swept up and down and the current is recorded. The current-voltage waveform ("voltammogram") gives information about the reactivity and ... En savoir plus
